General description
Pharmaceutical secondary standards for application in quality control, provide pharma laboratories and manufacturers with a convenient and cost-effective alternative to the preparation of in-house working standards. 2,2,4-Trimethylpentane (Isooctane) is a primary reference fuel with an arbitrary octane number of 100 as it burns smoothly without resulting in any knocking. It is mainly used to improve the octane rating of combustion fuels.
Application
These Secondary Standards are qualified as Certified Reference Materials. These are suitable for use in several analytical applications including but not limited to pharma release testing, pharma method development for qualitative and quantitative analyses, food and beverage quality control testing, and other calibration requirements.
Analysis Note
These secondary standards offer multi-traceability to the USP and EP primary standards, where they are available.
Other Notes
This Certified Reference Material (CRM) is produced and certified in accordance with ISO 17034 and ISO/IEC 17025. All information regarding the use of this CRM can be found on the certificate of analysis.
To see an example of a Certificate of Analysis for this material enter LRAB0908 in the Documents slot below. This is an example certificate only and may not be the lot that you receive.
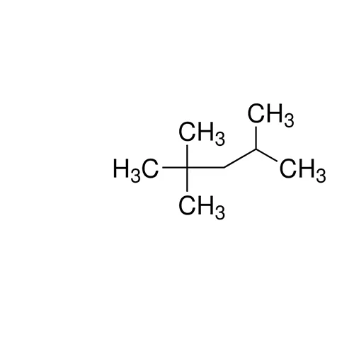
2,2,4-Trimethylpentane (Isooctane)
Pharmaceutical Secondary Standard; Certified Reference Material
Code: PHR1915.1
- Manufacturer: Merck
- Trademark: Supelco
- Hãng sản xuất: Merck
Kiểm tra giá 2,2,4-Trimethylpentane (Isooctane)

2,2,4-Trimethylpentane (Isooctane)
Bạn vui lòng nhập đúng số điện thoại để chúng tôi sẽ gọi xác nhận đơn hàng trước khi giao hàng. Xin cảm ơn!

Tiếng Việt