Application
α-Boswellic acid may be used as an analytical reference standard for the quantification of the analyte in the following:
Oleogum resins of different Boswellia species using high-performance liquid chromatography with tandem mass spectrometric detection (HPLC-MS/MS).[1]
Frankincense extracts of different Boswellia species using two-dimensional liquid chromatography electrospray ionization tandem mass spectrometry (LC/LC/ESI-MS/MS).[2]
General description
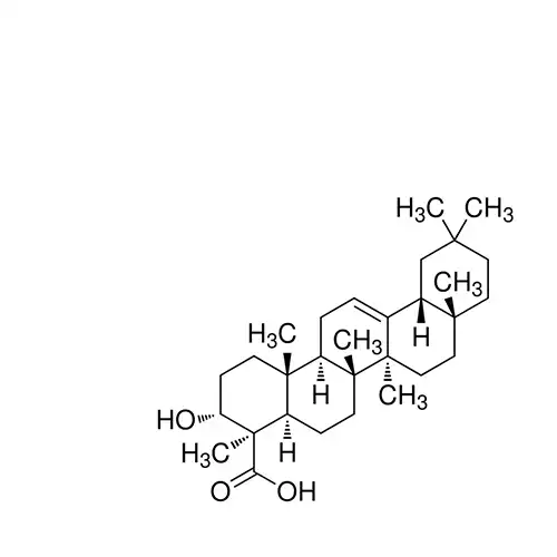
α-Boswellic acid is a pentacyclic triterpene acid belonging to the genus Boswellia. It is a biologically active constituent of Boswellia serrata, known for its anti-inflammatory activity.[3]
Packaging
Bottomless glass bottle. Contents are inside inserted fused cone.

Tiếng Việt