General description
Certan Vial
Application
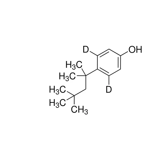
4-tert-Octylphenol-3,5-d2 solution is an isotopically labeled standard used for the determination of mono and di-ethoxylates of nonylphenol (NP) and octylphenol (OP) in environmental samples using solid-phase micro extraction followed by gas chromatography with mass spectrometry (SPME-GC-MS).
Refer to the product′s Certificate of Analysis for more information on a suitable instrument technique. Contact Technical Service for further support.
4-tert-Octylphenol-3,5-d2 solution
1 μg/mL in acetone, analytical standard
Code: 33559
- Manufacturer: Merck
- Trademark: Supelco
- Hãng sản xuất: Merck
Kiểm tra giá 4-tert-Octylphenol-3,5-d2 solution

4-tert-Octylphenol-3,5-d2 solution
Bạn vui lòng nhập đúng số điện thoại để chúng tôi sẽ gọi xác nhận đơn hàng trước khi giao hàng. Xin cảm ơn!

Tiếng Việt