Application
This European Pharmacopoeia reference standard is intended for use only as specifically prescribed in the European Pharmacopoeia.
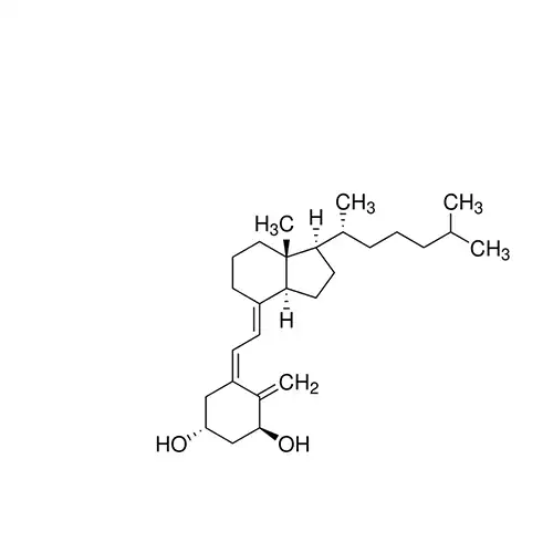
Biochem/physiol Actions
Synthetic vitamin D3 analog that is metabolized to 1,25-dihydroxycholecalciferol. Inhibits bone resorption and stimulates bone formation. Supresses parathyroid hormone secretion by bovine parathyroid cells.
General description
This product is provided as delivered and specified by the issuing Pharmacopoeia. All information provided in support of this product, including SDS and any product information leaflets have been developed and issued under the authority of the issuing pharmacopoeia. For further information and support please go to the website of the issuing pharmacopoeia.
Alfacalcidol is an active metabolite of vitamin D, used as a vitamin supplement due to it longer half-life. It is found to be effective in regulating calcium balance/bone metabolism.[1]
Other Notes
Sales restrictions may apply.
Packaging
The product is delivered as supplied by the issuing Pharmacopoeia. For the current unit quantity, please visit the EDQM reference substance catalogue.

Tiếng Việt