Application
Refer to the product′s Certificate of Analysis for more information on a suitable instrument technique. Contact Technical Service for further support.
General description
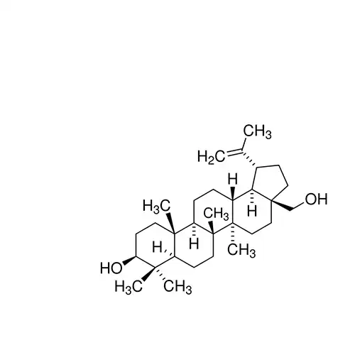
Betulin is a naturally occurring pentacyclic triterpene alcohol with a lupane skeleton[1], found in large quantities in the bark of white birch.[1] It may possess anticancer and antiviral properties.[2]
Other Notes
This compound is commonly found in plants of the genus: salvia sambucus
Packaging
Bottomless glass bottle. Contents are inside inserted fused cone.
Betulin
analytical standard
Code:92648
- Manufacturer: Merck
- Trademark: Supelco
- Hãng sản xuất: Merck
Kiểm tra giá Betulin

Betulin
Bạn vui lòng nhập đúng số điện thoại để chúng tôi sẽ gọi xác nhận đơn hàng trước khi giao hàng. Xin cảm ơn!

Tiếng Việt