General description
This certified reference material (CRM) is produced and certified in accordance with ISO/IEC 17025 and ISO 17034. This CRM is traceable to primary material from an NMI, e.g. NIST or NMIJ. Certified content by quantitative NMR incl. uncertainty and expiry date are given on the certificate. Download your certificate at: http://www.sigma-aldrich.com
Legal Information
TraceCERT is a registered trademark of Merck KGaA, Darmstadt, Germany
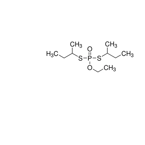
Cadusafos
certified reference material, TraceCERT®, Manufactured by: Sigma-Aldrich Production GmbH, Switzerland
Code: CRM32505
- Manufacturer: Merck
- Trademark: Supelco
- Hãng sản xuất: Merck
Kiểm tra giá Cadusafos

Cadusafos
Bạn vui lòng nhập đúng số điện thoại để chúng tôi sẽ gọi xác nhận đơn hàng trước khi giao hàng. Xin cảm ơn!

Tiếng Việt