Application
Calcitriol EP Reference standard, intended for use in laboratory tests only as specifically prescribed in the European Pharmacopoeia.
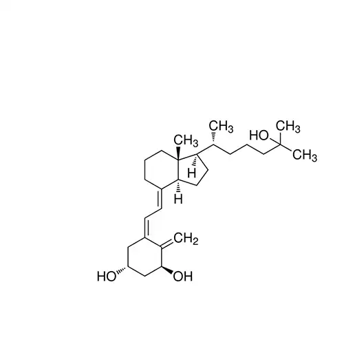
Biochem/physiol Actions
Biologically active form of vitamin D3 in calcium absorption and deposition.
Biologically active form of vitamin D3 in calcium absorption and deposition. 1α,25-Dihydroxyvitamin D3 has widespread effects on cellular differentiation and proliferation, and can modulate immune responsiveness, and central nervous system function. Recent studies suggest that 1α,25-dihydroxyvitamin D3 acts as a chemopreventive agent against several malignancies including cancers of the prostate and colon and shows synergy with other anticancer compounds.
General description
This product is provided as delivered and specified by the issuing Pharmacopoeia. All information provided in support of this product, including SDS and any product information leaflets have been developed and issued under the authority of the issuing pharmacopoeia. For further information and support please go to the website of the issuing pharmacopoeia.
Calcitriol is a biologically active metabolite of vitamin D, formed via hydroxylation of calcidiol in the kidney.[1]
Other Notes
Sales restrictions may apply.
Packaging
The product is delivered as supplied by the issuing Pharmacopoeia. For the current unit quantity, please visit the EDQM reference substance catalogue.

Tiếng Việt