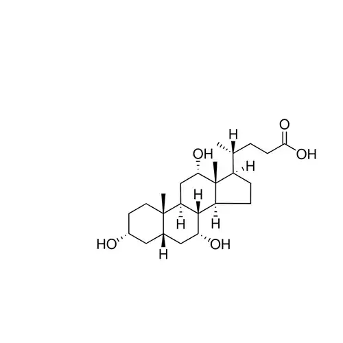
Cholic acid

European Pharmacopoeia (EP) Reference Standard
Code:C2158000

  • Manufacturer: Merck
  • Trademark: Supelco
  • Hãng sản xuất: Merck
Liên hệ báo giá Gọi điện xác nhận và giao hàng tận nơi
Category: Brand: