General description
Pharmaceutical secondary standards for application in quality control, provide pharma laboratories and manufacturers with a convenient and cost-effective alternative to the preparation of in-house working standards.
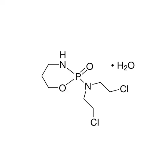
Cyclophosphamide is one of the cytostatic compounds that is a constituent of several polychemotherapy regimens.[1]
Application
Cyclophosphamide may be used as a pharmaceutical reference standard for the determination of the analyte in pharmaceutical formulations by chromatography techniques.[2][3]
These Secondary Standards are qualified as Certified Reference Materials. These are suitable for use in several analytical applications including but not limited to pharma release testing, pharma method development for qualitative and quantitative analyses, food and beverage quality control testing, and other calibration requirements.
Biochem/physiol Actions
Cyclophosphamide is a cytotoxic nitrogen mustard derivative widely used in cancer chemotherapy. It cross-links DNA, causes strand breakage, and induces mutations. Its clinical activity is associated with a decrease in aldehyde dehydrogenase 1 (ALDH1) activity.
Cytotoxic nitrogen mustard derivative widely used in cancer chemotherapy. It cross-links DNA, causes strand breakage, and induces mutations.
Analysis Note
These secondary standards offer multi-traceability to the USP and EP primary standards, where they are available.
Other Notes
This Certified Reference Material (CRM) is produced and certified in accordance with ISO 17034 and ISO/IEC 17025. All information regarding the use of this CRM can be found on the certificate of analysis.
To see an example of a Certificate of Analysis for this material enter LRAC0295 in the slot below. This is an example certificate only and may not be the lot that you receive.
Cyclophosphamide
Pharmaceutical Secondary Standard; Certified Reference Material
- Manufacturer: Merck
- Trademark:Supelco
- Hãng sản xuất: Merck
Kiểm tra giá Cyclophosphamide

Cyclophosphamide
Bạn vui lòng nhập đúng số điện thoại để chúng tôi sẽ gọi xác nhận đơn hàng trước khi giao hàng. Xin cảm ơn!

Tiếng Việt