Application
Cyclophosphamide BP Reference standard, intended for use in laboratory tests only as specifically prescribed in the British Pharmacopoeia.
Also used in monographs such as:
Cyclophosphamide Oral Solution
Biochem/physiol Actions
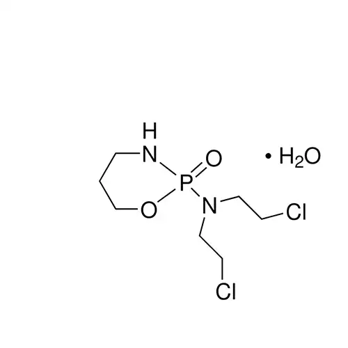
Cyclophosphamide is a cytotoxic nitrogen mustard derivative widely used in cancer chemotherapy. It cross-links DNA, causes strand breakage, and induces mutations. Its clinical activity is associated with a decrease in aldehyde dehydrogenase 1 (ALDH1) activity.
Cytotoxic nitrogen mustard derivative widely used in cancer chemotherapy. It cross-links DNA, causes strand breakage, and induces mutations.
General description
This product is provided as delivered and specified by the issuing Pharmacopoeia. All information provided in support of this product, including SDS and any product information leaflets have been developed and issued under the Authority of the issuing Pharmacopoeia.For further information and support please go to the website of the issuing Pharmacopoeia.
Other Notes
Sales restrictions may apply.
Learn how British Pharmacopoeia (BP) sets the standard by offering quality British Pharmacopoeia Chemical Reference Substances (BPCRS).
Packaging
Unit quantity: 100 mg. Subject to change. The product is delivered as supplied by the issuing Pharmacopoeia. For the current unit quantity please visit British Pharmacopoeia

Tiếng Việt