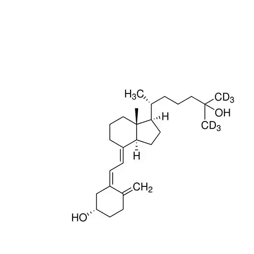
D6-25-Hydroxyvitamin D3 (26,26,26,27,27,27-D6) solution

50 μg/mL in ethanol, ampule of 1 mL, certified reference material, Cerilliant®

  • Manufacturer: Merck
  • Trademark:Supelco
  • Hãng sản xuất: Merck
Liên hệ báo giá Gọi điện xác nhận và giao hàng tận nơi
Category: Brand: