Application
Refer to the product′s Certificate of Analysis for more information on a suitable instrument technique. Contact Technical Service for further support.
Deoxynivalenol 3-glucoside may be used as a reference standard for the determination of deoxynivalenol 3-glucoside in wheat and barley by liquid chromatography coupled to mass spectrometry.[1]
General description
Certan Vial
Check out our entire range of trichothecene type mycotoxin reference materials
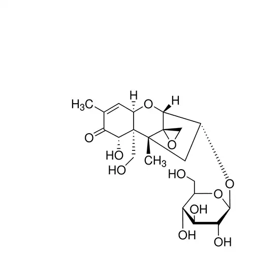
Deoxynivalenol 3-glucoside solution is the major metabolite of deoxynivalenol (DON)[1] and a modified mycotoxin. The conjugation of deoxynivalenol (DON) with glucose formed by the metabolism of plants results in the formation of deoxynivalenol-3-glucoside.[2]
Analysis Note
purity : ≥92.5% (HPLC)

Tiếng Việt