Application
Gentamicin for peak identification EP Reference standard, intended for use in laboratory tests only as specifically prescribed in the European Pharmacopoeia.
Biochem/physiol Actions
Mode of action: Gentamicin causes codon misreading by binding to the 30S ribosomal subunit, blocking the translocation of peptidyl-tRNA from the acceptor site to the donor site. The bactericidal effect of gentamicin on Pseudomonas aeruginosa is exerted by the binding of gentamicin to the outer membrane, where it displaces natural cations, destabilizes the membrane, and forms holes in the cell surface.
Antimicrobial spectrum: Includes Gram-negative and Gram-positive bacteria, including strains resistant to tetracycline, chloramphenicol, kanamycin and colistin, particularly strains of Pseudomonas, Proteus, Staphylococcus and Streptococcus.
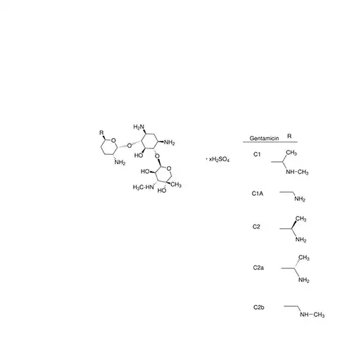
General description
This product is provided as delivered and specified by the issuing Pharmacopoeia. All information provided in support of this product, including SDS and any product information leaflets have been developed and issued under the Authority of the Issuing Pharmacopoeia. For further information and support please go to the website of the issuing Pharmacopoeia.
Other Notes
Sales restrictions may apply.
Packaging
The product is delivered as supplied by the issuing Pharmacopoeia. For the current unit quantity, please visit the EDQM reference substance catalogue.

Tiếng Việt