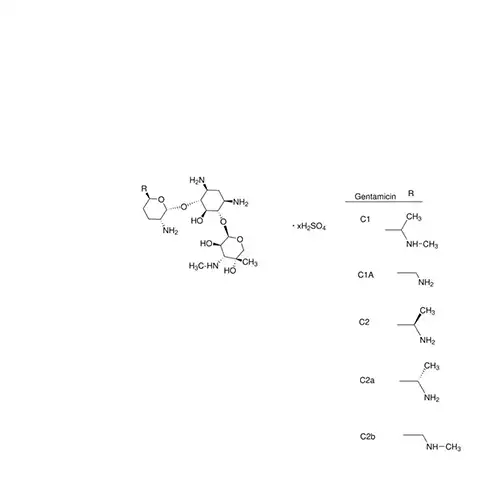
Gentamicin Sulfate

Pharmaceutical Secondary Standard; Certified Reference Material

  • Manufacturer: Merck
  • Trademark: Supelco
  • Hãng sản xuất: Merck
Liên hệ báo giá Gọi điện xác nhận và giao hàng tận nơi
Category: Brand: