Analysis Note
These products are for test and assay use only. They are not meant for administration to humans or animals and cannot be used to diagnose, treat, or cure diseases of any kind.
Application
Gentamicin sulfate USP reference standard, intended for use in specified quality tests and assays as specified in the USP compendia.
Also, for use with USP monographs such as:
Gentamicin Sulfate Cream
Gentamicin Sulfate Ointment
Gentamicin Sulfate Ophthalmic Ointment
Gentamicin Sulfate Ophthalmic Solution
Gentamicin Sulfate and Betamethasone Valerate Topical Solution
Gentamicin Sulfate and Betamethasone Acetate Ophthalmic Solution
Gentamicin Sulfate and Betamethasone Valerate Otic Solution
Gentamicin and Prednisolone Acetate Ophthalmic Ointment
Biochem/physiol Actions
Mode of action: Gentamicin causes codon misreading by binding to the 30S ribosomal subunit, blocking the translocation of peptidyl-tRNA from the acceptor site to the donor site. The bactericidal effect of gentamicin on Pseudomonas aeruginosa is exerted by the binding of gentamicin to the outer membrane, where it displaces natural cations, destabilizes the membrane, and forms holes in the cell surface.
Antimicrobial spectrum: Includes Gram-negative and Gram-positive bacteria, including strains resistant to tetracycline, chloramphenicol, kanamycin and colistin, particularly strains of Pseudomonas, Proteus, Staphylococcus and Streptococcus.
Disclaimer
Sterile solutions should be stored at 2-8°C. Solutions have also been shown to be stable at room temperature and in boiling aqueous buffers of pH 2-142.
General description
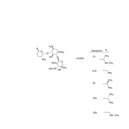
Gentamicin sulfate is a broad-spectrum aminoglycoside antibiotic derived from Micromonospora species. It binds irreversibly to the 30S ribosomal subunit, causing misreading of mRNA and inhibition of protein synthesis. The USP standard is used in microbiological assays and chromatographic analyses of gentamicin-containing products.
The USP biologics antibiotics category includes a wide range of antimicrobial agents that are essential in treating bacterial infections. These antibiotics are derived from various natural sources or synthesized to combat specific pathogens effectively. The USP provides comprehensive standards, reference materials, and analytical procedures to ensure the identity, quality, purity, and consistency of antibiotic therapeutics throughout their lifecycle.
The United States Pharmacopeia (USP) provides quality standards for biologics to ensure their safety, efficacy, and quality throughout the manufacturing process. These standards assist manufacturers in adhering to regulatory requirements and help safeguard public health by reducing risks associated with biologics.
Legal Information
This product is provided as delivered and specified by the issuing Pharmacopoeia. All information provided in support of this product, including SDS and any product information leaflets have been developed and issued under the Authority of the issuing Pharmacopoeia.For further information and support please go to the website of the issuing Pharmacopoeia.
Other Notes
This product is part of the USP Biologics program.

Tiếng Việt