Application
Refer to the product′s Certificate of Analysis for more information on a suitable instrument technique. Contact Technical Service for further support.
General description
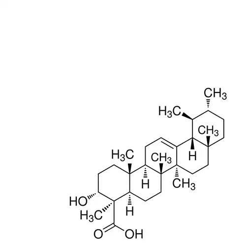
β-Boswellic acid is a naturally occurring pentacyclic triterpene, which can show pharmacological properties like antitumor, anticarcinogenic[1] and antihyperlipidemic activity.[2]
Packaging
Bottomless glass bottle. Contents are inside inserted fused cone.
β-Boswellic acid
analytical standard
Code:80342
- Manufacturer: Merck
- Trademark: Supelco
- Hãng sản xuất: Merck
Kiểm tra giá β-Boswellic acid

β-Boswellic acid
Bạn vui lòng nhập đúng số điện thoại để chúng tôi sẽ gọi xác nhận đơn hàng trước khi giao hàng. Xin cảm ơn!

Tiếng Việt