General description
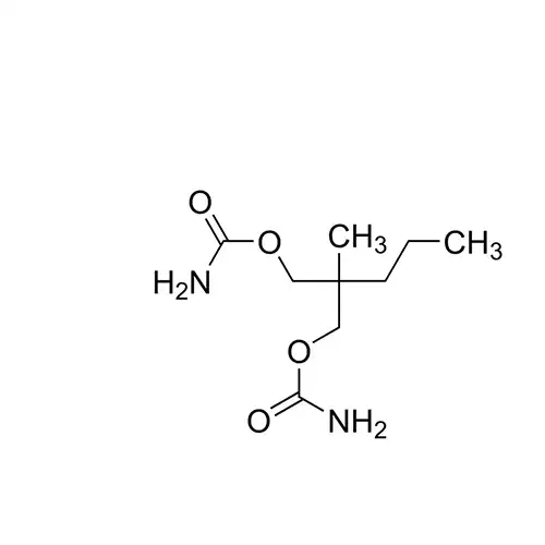
Meprobamate is marketed as an anti-anxiety drug and muscle relaxant under the trade names Milltown, Meprospan, and Equanil. This Certified Spiking Solution® is suitable for GC/MS or LC/MS testing applications in forensic analysis, clinical toxicology, urine drug testing, or pain prescription monitoring.
Legal Information
CERILLIANT is a registered trademark of Merck KGaA, Darmstadt, Germany
CERTIFIED SPIKING SOLUTION is a registered trademark of Cerilliant Corporation
Snap-N-Shoot is a registered trademark of Cerilliant Corporation
Snap-N-Spike is a registered trademark of Merck KGaA, Darmstadt, Germany
German
Dieses Produkt fällt unter das Betäubungsmittelgesetz (BtMG). Für eine Bestellung dieses Produktes ist eine Erlaubnis nach § 3 BtMG zwingend erforderlich, es sei denn, es greift eine Ausnahme von der Erlaubnispflicht nach § 4 oder § 26 BtMG.
English
This product is subject to the German Narcotics Act. A permit under Section 3 of the German Narcotics Act is mandatory for ordering this product unless an exemption from the permit requirement under Section 4 or Section 26 of the German Narcotics Act applies.

Tiếng Việt