Application
Neoandrographolide may be used as an analytical reference standard for the quantification of the analyte in the leaves of Andrographis paniculata using chromatography techniques.[1][2]
Refer to the product′s Certificate of Analysis for more information on a suitable instrument technique. Contact Technical Service for further support.
General description
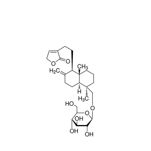
Neoandrographolide is a major diterpenoid isolated from Andrographis paniculata NEES (AP), a shrub belonging to the Acanthaceae family. It exhibits antihepatotoxic effect against carbon tetrachloride-induced hepatotoxicity. It also shows protective effects against galactosamine and paracetamol-induced intoxication in rats.[1] It also helps in the suppression of human immunodeficiency virus type 1 (HIV)-induced cell cycle dysregulation and leads to a rise in CD4+ lymphocyte levels of HIV-1 infected individuals.[1]
Packaging
Bottomless glass bottle. Contents are inside inserted fused cone.
Neoandrographolide
analytical standard
Code: 49879
- Manufacturer: Merck
- Trademark: Supelco
- Hãng sản xuất: Merck
Kiểm tra giá Neoandrographolide

Neoandrographolide
Bạn vui lòng nhập đúng số điện thoại để chúng tôi sẽ gọi xác nhận đơn hàng trước khi giao hàng. Xin cảm ơn!

Tiếng Việt