Application
Oxadiargyl may be used as an analytical reference standard for the quantification of the analyte in:
Aqueous samples using magnetic micro-solid phase extraction (M-l-SPE) coupled to gas chromatography–mass spectrometry (GC-MS).[1]
Environmental and agricultural samples using solid-phase microextraction fibers on stainless steel wire with gas chromatography coupled to mass spectrometry (GC-MS).[2]
Refer to the product′s Certificate of Analysis for more information on a suitable instrument technique. Contact Technical Service for further support.
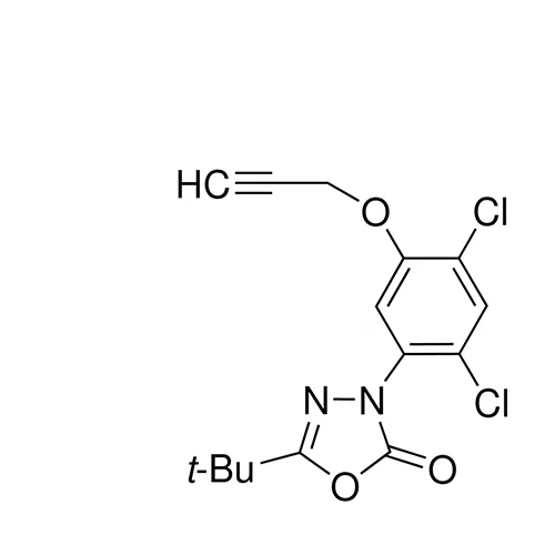
General description
Oxadiargyl is a pre- and post-emergence herbicide, belonging to the oxadiazolone family.[1] It is primarily used for controlling weeds in rice and cane fields. It also shows activity against broad-leaved weeds, grasses and annual sedges.[2]
Other Notes
Find a digital Reference Material for this product available on our online platform ChemisTwin® for NMR. You can use this digital equivalent on ChemisTwin® for your sample identity confirmation and compound quantification (with digital external standard). An NMR spectrum of this substance can be viewed and an online comparison against your sample can be performed with a few mouseclicks. Learn more here and start your free trial.
Legal Information
PESTANAL is a registered trademark of Merck KGaA, Darmstadt, Germany

Tiếng Việt