Application
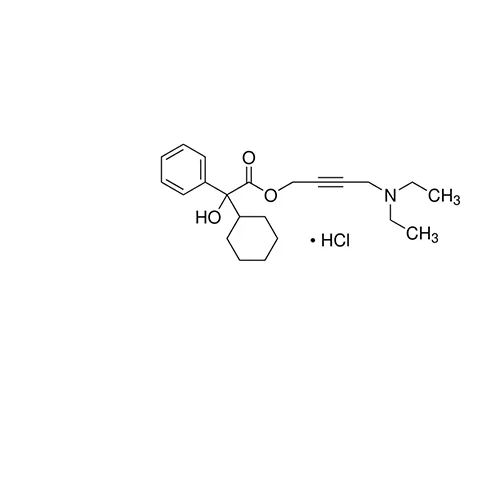
Oxybutynin hydrochloride BP Reference standard, intended for use in laboratory tests only as specifically prescribed in the British Pharmacopoeia.
Also used in monographs such as:
Oxybutynin Tablets
Oxybutynin Oral Solution
Oxybutynin Prolonged-release Tablets
Biochem/physiol Actions
Muscarinic acetylcholine receptor antagonist.
Muscarinic acetylcholine receptor antagonist; inhibits proliferation of bladder smooth muscle cells, perhaps by downregulation of growth promoting genes.
General description
This product is provided as delivered and specified by the issuing Pharmacopoeia. All information provided in support of this product, including SDS and any product information leaflets have been developed and issued under the Authority of the issuing Pharmacopoeia. For further information and support please go to the website of the issuing Pharmacopoeia.
Other Notes
Sales restrictions may apply.
Packaging
Unit quantity: 100 mg. Subject to change. The product is delivered as supplied by the issuing Pharmacopoeia. For the current unit quantity please visit British Pharmacopoeia

Tiếng Việt