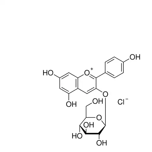
Pelargonidin 3-glucoside chloride

phyproof® Reference Substance
Code:PHL89753

  • Manufacturer: Merck
  • Trademark: Supelco
  • Hãng sản xuất: Merck
Liên hệ báo giá Gọi điện xác nhận và giao hàng tận nơi
Category: Brand: