General description
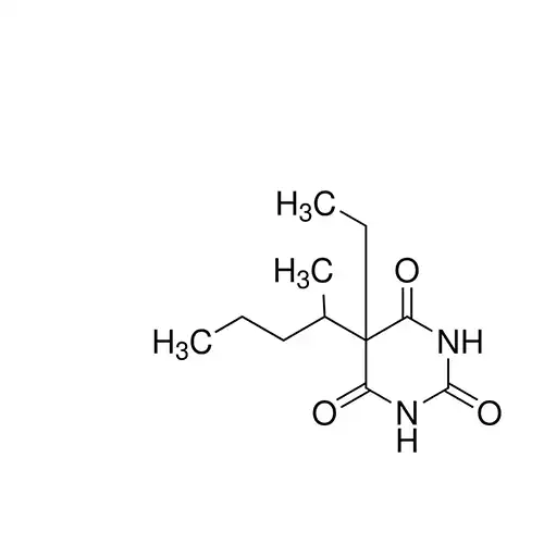
Pentobarbital is a short-acting barbiturate and hypnotic approved for treatment of seizures and preoperative sedation. Also known as pentobarbitone, the sodium salt of pentobarbital is used as an anesthetic in veterinary medicine. This certified solution standard is suitable for GC/MS and LC/MS testing applications in forensic analysis, clinical toxicology or urine drug testing.
Legal Information
German
Dieses Produkt fällt unter das Betäubungsmittelgesetz (BtMG). Für eine Bestellung dieses Produktes ist eine Erlaubnis nach § 3 BtMG zwingend erforderlich, es sei denn, es greift eine Ausnahme von der Erlaubnispflicht nach § 4 oder § 26 BtMG.
English
This product is subject to the German Narcotics Act. A permit under Section 3 of the German Narcotics Act is mandatory for ordering this product unless an exemption from the permit requirement under Section 4 or Section 26 of the German Narcotics Act applies.
CERILLIANT is a registered trademark of Merck KGaA, Darmstadt, Germany
Snap-N-Shoot is a registered trademark of Cerilliant Corporation
Snap-N-Spike is a registered trademark of Merck KGaA, Darmstadt, Germany

Tiếng Việt