General description
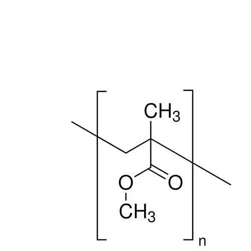
Poly(methyl methacrylate) is a rigid and transparent type of polymer material.[1] It is obtained via polymerization of methyl methacrylate monomer.[2]
Poly(methyl methacrylate)
analytical standard, suitable for gel permeation chromatography (GPC), 2,000
Code:81489
- Manufacturer: Merck
- Trademark: Supelco
- Hãng sản xuất: Merck
Kiểm tra giá Poly(methyl methacrylate)

Poly(methyl methacrylate)
Bạn vui lòng nhập đúng số điện thoại để chúng tôi sẽ gọi xác nhận đơn hàng trước khi giao hàng. Xin cảm ơn!

Tiếng Việt