Application
Refer to the product′s Certificate of Analysis for more information on a suitable instrument technique. Contact Technical Service for further support.
S 421 may be used as an analytical reference standard for the determination of S 421 in:
Tobacco samples by citrate QuEChERS (quick, easy, cheap, effective, rugged and safe) extraction in acetonitrile solvent, low-temperature precipitation (LTP) and dispersive solid phase extraction (d-SPE) followed by analysis using gas chromatography combined with tandem mass spectrometry (GC-MS/MS) with electron impact (EI) ionization and selected reaction monitoring (SRM) detection.[1]
Fresh tea shoots, tea infusion and spent tea leaves by GC coupled with 63Ni electron capture detector (ECD) and GC-MS operating on EI mode of detection.[2]
Indoor air samples by GC-EI-MS equipped with selected ion monitoring (SIM) detection.[3]
General description
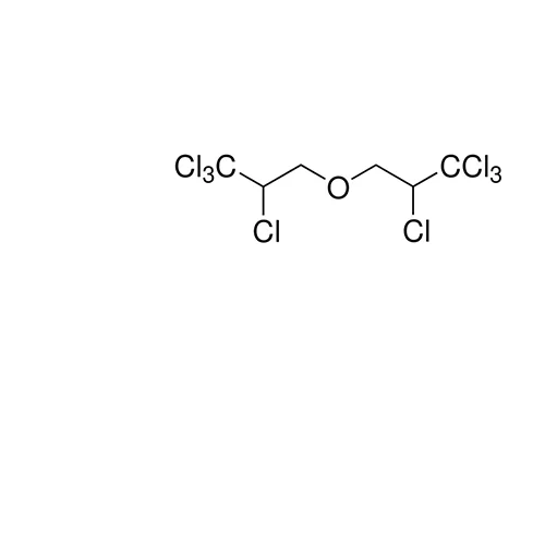
S 421 belongs to the class of chloroalkyl ether compounds.[2]
Legal Information
PESTANAL is a registered trademark of Merck KGaA, Darmstadt, Germany

Tiếng Việt