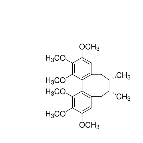
General description
Schisandrin A is a lignan, a phytonutrient found mostly in the medicinal plants belonging to the Schisandra species. Lignans are bioactive compounds that can play an important role in preventing liver injuries, carcinogenesis of the liver and lipid peroxidation.[1]
Application
Schisandrin A (Deoxyschisandrin) may be used as an analytical standard for the determination of the analyte in rat plasma[2] and fruits of Schisandra chinensis[3][4] by chromatography based techniques.
Schisandrin A
analytical standard
Code: 90139
- Manufacturer: Merck
- Trademark: Supelco
- Hãng sản xuất: Merck
Kiểm tra giá Schisandrin A

Schisandrin A
Bạn vui lòng nhập đúng số điện thoại để chúng tôi sẽ gọi xác nhận đơn hàng trước khi giao hàng. Xin cảm ơn!

Tiếng Việt