Application
Reference standard in the analysis of herbal medicinal products.
General description
Produced and qualified by HWI pharma services GmbH.
Exact content by quantitative NMR can be found on the certificate.
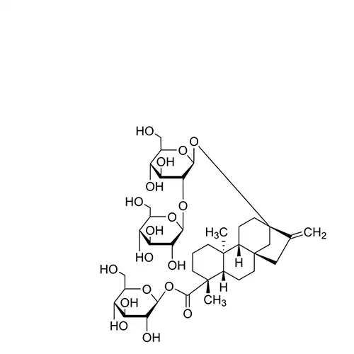
Componentof stevia.
primary reference standard
Code:05420590
