Application
Refer to the product′s Certificate of Analysis for more information on a suitable instrument technique. Contact Technical Service for further support.
Sucralose may be used as an analytical reference standard for the quantification of the analyte in:
Commercial sugar-free products such as Splenda and Red Raspberry Diet Rite beverage using high performance anion-exchange (HPAE) chromatography coupled with pulsed amperometric detection (PAD).[1]
Water and beverage samples using liquid chromatography/time-of-flight mass spectrometry (LC/TOF-MS).[2]
Biochem/physiol Actions
A synthetic sweet tastant detectable by humans. Activates T1R2/T1R3 sweet taste receptors on enteroendocrine cells and elicits increased hormonal secretion of glucagon-like peptide-1 and glucose-dependent insulinotrophic peptide.
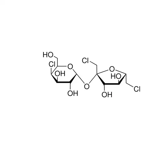
General description
Sucralose is a derivative of sucrose[3], which is generally used as a non-nutritive sweetener in foods and beverages.[4]
Sucralose, belonging to the class of synthetic sweeteners,[5] is a noncarcinogenic taste enhancer, found to be 400-800 times sweeter than sucrose. It is not involved in inducing glycemic response and is virtually noncaloric.[1] Sucralose is used as a part of a comprehensive portfolio of analytical standards to monitor natural and artificial sugar substitutes in the food and beverage industries. This product finds applications as a sweetener in a variety of food products and beverages including desserts, bakery products, canned fruits/vegetables, dressings, breakfast cereals, confectionery, medical foods, dietary supplements, etc.[1][5]
Packaging
Bottomless glass bottle. Contents are inside inserted fused cone.

Tiếng Việt