Application
Tigloyl-L-carnitine may be used as an analytical reference standard for the quantification of the analyte in dried blood spots (DBSs)[1][2] and plasma samples[1] using chromatography techniques.
General description
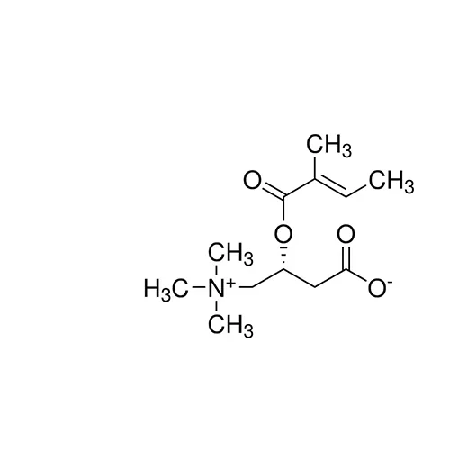
Tigloyl-L-carnitine belongs to the class of acylcarnitines, formed via the conversion of long-chain acyl-CoA′s by carnitine-palmitoyl CoA transferase 1 (CPT-1) enzyme.[1]
Other Notes
Find a digital Reference Material for this product available on our online platform ChemisTwin® for NMR. You can use this digital equivalent on ChemisTwin® for your sample identity confirmation and compound quantification (with digital external standard). An NMR spectrum of this substance can be viewed and an online comparison against your sample can be performed with a few mouseclicks. Learn more here and start your free trial.
Tigloyl-L-carnitine
analytical standard
Code: 39588
- Manufacturer: Merck
- Trademark: Supelco
- Hãng sản xuất: Merck
Kiểm tra giá Tigloyl-L-carnitine

Tigloyl-L-carnitine
Bạn vui lòng nhập đúng số điện thoại để chúng tôi sẽ gọi xác nhận đơn hàng trước khi giao hàng. Xin cảm ơn!

Tiếng Việt