Application
It has been used as reference sample for analyzing sterols and related compounds in root bark of Oplopanax horridus using HPLC and TLC methods.[1]
Refer to the product′s Certificate of Analysis for more information on a suitable instrument technique. Contact Technical Service for further support.
General description
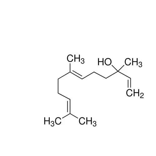
Nerolidol is a naturally occurring sesquiterpene found in the essential oils.
Packaging
Bottomless glass bottle. Contents are inside inserted fused cone.
trans-Nerolidol
analytical standard
Code:18143
- Manufacturer: Merck
- Trademark: Supelco
- Hãng sản xuất: Merck
Kiểm tra giá trans-Nerolidol

trans-Nerolidol
Bạn vui lòng nhập đúng số điện thoại để chúng tôi sẽ gọi xác nhận đơn hàng trước khi giao hàng. Xin cảm ơn!

Tiếng Việt