Application
It has been used as reference sample for analyzing sterols and related compounds in root bark of Oplopanax horridus using HPLC and TLC methods.[1]
General description
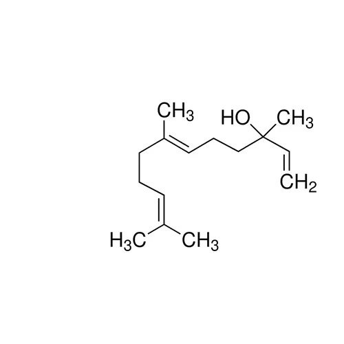
Nerolidol is a naturally occurring sesquiterpene found in the essential oils.
Produced and qualified by HWI pharma services GmbH.
Exact content by quantitative NMR can be found on the certificate.
trans-Nerolidol
primary reference standard
Code: 04610590
- Manufacturer: Merck
- Trademark: Supelco
- Hãng sản xuất: Merck
Kiểm tra giá trans-Nerolidol

trans-Nerolidol
Bạn vui lòng nhập đúng số điện thoại để chúng tôi sẽ gọi xác nhận đơn hàng trước khi giao hàng. Xin cảm ơn!

Tiếng Việt