Application
3-Acetyldeoxynivalenol may be used as an analytical reference standard for the determination of the analyte in:
Cereals by gas chromatography-mass spectrometry (GC-MS).[1]
Milk samples by liquid chromatography combined with tandem mass spectrometry (LC-MS/MS).[2]
Refer to the product′s Certificate of Analysis for more information on a suitable instrument technique. Contact Technical Service for further support.
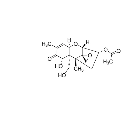
General description
3-Acetyldeoxynivalenol belongs to the class of trichothecenes, which are secondary metabolites generated by various fungi, particularly by Fusarium species.[3]

English