General description
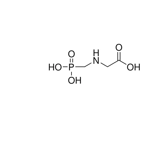
Glyphosate (N-(phosphonomethyl)glycine) (sold commercially as Roundup) is the most widely used broad-spectrum systemic herbicide in the world. Consequently, the environmental effects of glyphosphate and its mechanism of action are an important area of active research.
Biochem/physiol Actions
Glyphosate (N-[phosphonomethyl] glycine) is the herbicide form of the isopropylamine salt of glyphosate.[1]
Glyphosphate inhibits the shikimate pathway-dependent synthesis of the aromatic amino acids tyrosine, tryptophan and phenylalanine at the growing points of plants.
Preparation Note
Preparation and Use
N-(Phosphonomethyl)glycine
BioReagent, suitable for plant cell culture
Code: P9556
- Hãng sản xuất: Merck
- Thương hiệu: Sigma-Aldrich
- Hãng sản xuất: Merck
Kiểm tra giá N-(Phosphonomethyl)glycine

N-(Phosphonomethyl)glycine
Bạn vui lòng nhập đúng số điện thoại để chúng tôi sẽ gọi xác nhận đơn hàng trước khi giao hàng. Xin cảm ơn!

English