General description
This product is provided as delivered and specified by the issuing Pharmacopoeia. All information provided in support of this product, including SDS and any product information leaflets have been developed and issued under the Authority of the Issuing Pharmacopoeia. For further information and support please go to the website of the issuing Pharmacopoeia.
Application
Azithromycin EP Reference standard, intended for use in laboratory tests only as specifically prescribed in the European Pharmacopoeia.
Biochem/physiol Actions
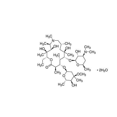
Azithromycin dihydrate is a macrolide antibiotic with anti-immunomodulatory/anti-inflammatory properties.
Azithromycin dihydrate is a macrolide antibiotic, azalide subclass. It binds to the 50S subunit of the 70S bacterial ribosomes and inhibits RNA-dependent protein synthesis in bacterial cells. Azithromycin also has anti-immunomodulatory/anti-inflammatory properties, which make it useful in treating cystic fibrosis.
Packaging
The product is delivered as supplied by the issuing Pharmacopoeia. For the current unit quantity, please visit the EDQM reference substance catalogue.
Other Notes
Sales restrictions may apply.
Azithromycin
European Pharmacopoeia (EP) Reference Standard
Code: Y0000306
- Manufacturer: Merck
- Trademark: Supelco
- Hãng sản xuất: Merck
Kiểm tra giá Azithromycin

Azithromycin
Bạn vui lòng nhập đúng số điện thoại để chúng tôi sẽ gọi xác nhận đơn hàng trước khi giao hàng. Xin cảm ơn!

English