analytical standard
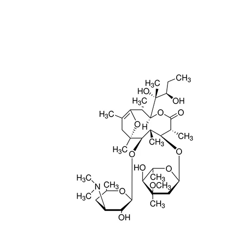
Pseudoerythromycin A enol ether
analytical standard
Code: 38874
- Manufacturer: Merck
- Trademark: Supelco
- Hãng sản xuất: Merck
Kiểm tra giá Pseudoerythromycin A enol ether

Pseudoerythromycin A enol ether
Bạn vui lòng nhập đúng số điện thoại để chúng tôi sẽ gọi xác nhận đơn hàng trước khi giao hàng. Xin cảm ơn!

English